Moin Jobfinder

Rückschlag für die Johannes-Schwennesen-Schule

CDU und Bürger für Tornesch beerdigen Neubau

Tornesch (jhf) Todesstoß für den von vielen Eltern und Lehrern ersehnten Neubau der…

+

Großbrand in Bad Bramstedt

Ehemaliges Hotel brennt

Bad Bramstedt (ots) – Zu einem Großeinsatz der Feuerwehren kam es am…

+

Neue Betrugsmasche in Neumünster

Die Polizei in Neumünster sucht nach weiteren Zeugen

Neumünster (pm) - In der letzten Zeit kam es vermehrt in Neumünster zu einer neuen…

+

Großer Kampf zu acht nicht belohnt

Siegchance nicht genutzt

Itzehoe (anz) – Es bleibt die Geschichte der Saison für die Itzehoe Eagles: Die…

+

Ein Gangsterpaar, wie es der Kalkberg noch nie sah

Karl-May-Spiele präsentierten Gaststars

Bad Segeberg (anz) – Dieses Gangsterpaar hat Stil und Charme – aber keinerlei…

+

Wie sicher ist es in Neumünster?

„Wir sind zurzeit auf einem Niedrigstand an Straftaten in Neumünster!“

Neumünster (rjs) - Mitte Februar meldet die Polizei Neumünster, dass einer Person…

+

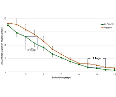
Ergebnisse der COVARI-2-Studie publiziert

ELOM-080 in der ambulanten Behandlung von COVID-19

Hohenlockstedt (anz) – Die Firma Pohl-Boskamp stellte im Rahmen einer…

+

Mülltonnenbrand an der Polizei-Zentralstation

Zeugen gesucht

Wilster (ots) – In den späten Abendstunden kam es zu einer Brandlegung auf dem…

+

GAB: Nur Übungsgranaten, aber echte Munition

Kampfmittelräumdienst entsorgt gefährlichen Fund in Tornesch

Tornesch (jhf) Entwarnung: Der Kampfmittelräumdienst transportierte die…

+

Fund von Splittergranaten und Munition in der Müllverbrennungsanlage in Tornesch

Kampfmittelräumdienst rückt zur GAB an

Tornesch (jhf) Explosiver Fund in der Müllverbrennungsanlage in Tornesch-Ahrenlohe:…

+